Pravděpodobnostní rozdělení
Contents
Úvod
Změříme-li nějakou veličinu, jde z hlediska teorie o náhodný pokus. Předpis, který přiřazuje každému výsledku našeho náhodného pokusu určité číslo, se nazývá náhodná veličina. Z matematického hlediska je tedy náhodná veličina (x) reálná funkce definovaná na množině všech elementárních jevů (jednotlivé možné výsledky pokusu), která každému jevu přiřadí reálné číslo. Pravděpodobnost, s kterou náhodná proměnná nabývá určité hodnoty nebo je obsažena v určitém intervalu hodnot se nazývá pravděpodobnostní rozdělení.
Pro vysvětlení principu je vhodné použít nejklasičtější příklad. Hod mincí se sledováním výsledku, co padlo, je vlastně provedení náhodného pokusu. Definičním oborem (možnými výsledky) tohoto pokusu jsou dva výsledky - první možnost = padne líc (panna); - druhá možnost = padne rub (orel). Obor hodnot je v tomto případě množina {0,1}. Pro tuto situaci vlastně definiční obor a obor hodnot splývají, ale nemusí tomu obvykle tak být. Rozdělení pravděpodobnosti náhodné veličiny tedy získáme, pokud každé hodnotě diskrétní náhodné veličiny, popř. intervalu hodnot spojité náhodné veličiny, přiřadíme pravděpodobnost.
Obecně platí, že ve statistice se používají velká písmena k reprezentování náhodné proměnné a malá písmena, představují jednu z jejich hodnot. Například, X představuje náhodné proměnné x. P (X) představuje pravděpodobnost X. P (X = x), se vztahuje k pravděpodobnosti, že náhodná proměnná X je rovna na určitou hodnotu, označené x. Jako příklad lze uvést, P (X = 1), se vztahuje k pravděpodobnosti, že náhodná proměnná X je rovno 1.
Modifikovaným příkladem s hodem mincí bude jasně znázorněn vztah mezi náhodnými proměnnými a rozdělením pravděpodobnosti a zároveň se svým způsobem vracíme k našemu úvodu. Představte si, že hodit mincí dvakrát. Tento jednoduchý statistický experiment může mít čtyři možné výsledky: HH, HL, LH, a LL. Nyní proměnná X představuje počet hlav, které padnou při tomto experimentu. Proměnná X může nabývat hodnot 0, 1, nebo 2. V tomto příkladu, X je náhodná proměnná, protože jeho hodnota je určena na základě výsledků statistického experimentu. Rozdělení pravděpodobnosti je tabulka, nebo rovnice, která spojuje jednotlivé výsledky statistické experimentu s jeho pravděpodobností výskytu. V následující tabulce, která sdružuje výsledky s pravděpodobností, je předveden příklad rozdělení pravděpodobnosti.
Výše uvedená tabulka představuje rozdělení pravděpodobnosti náhodné proměnné X. [1]
Typy rozdělení
Diskrétní rozdělení pravděpodobnosti
Je-li náhodná veličina, diskrétní veličina, její rozdělení pravděpodobnosti se nazývá diskrétní rozdělení pravděpodobnosti. Příkladem se opět vracíme k hodu mincí. Tento jednoduchý statistický experiment může mít čtyři možné výsledky: HH, HL, LH, a LL. Nyní, ať náhodná veličina X představuje počet hlav, které vyplývají z tohoto experimentu. Náhodná veličina X se může uskutečnit pouze na základě hodnot 0, 1, nebo 2, takže je diskrétní náhodná veličina.
Výše uvedená tabulka představuje diskrétní rozdělení pravděpodobnosti, protože se týká každé hodnoty diskrétní náhodné veličiny s pravděpodobností výskytu. U diskrétního rozdělení pravděpodobnosti platí, že každá možná hodnota diskrétní náhodné veličiny může být spojena s nenulovou pravděpodobností. Potom platí, že diskrétní rozdělení pravděpodobnosti může být vždy prezentováno ve formě tabulky.
Typy rozdělení:
- Diracovo rozdělení
- Rovnoměrné rozdělení
- Alternativní (Bernoulliovo, nula-jedničkové) rozdělení
- Binomické rozdělení
- Geometrické rozdělení
- Hypergeometrické rozdělení
- Poissonovo rozdělení
- Negativně binomické rozdělení
Spojité rozdělení pravděpodobnosti
Je-li náhodná veličina veličinou spojitou, její rozdělení pravděpodobnosti se nazývá spojité rozdělení pravděpodobnosti . Spojité rozdělení pravděpodobnosti se liší od diskrétního rozdělení pravděpodobnosti v několika ohledech.
- Pravděpodobnost, že spojitá náhodná proměnná bude předpokládat určitou hodnotu, je nulová.
- V důsledku toho kontinuální rozdělení, pravděpodobnost nelze vyjádřit ve formě tabulky.
- Místo toho se používá k popisu kontinuálního rozdělení pravděpodobnosti rovnice nebo vzorec.
Nejčastěji používaná rovnice kontinuálního rozdělení pravděpodobnosti se nazývá funkce hustoty pravděpodobnosti. Pro toto rozdělení pravděpodobnosti má funkce hustoty následující vlastnosti:
- Vzhledem k tomu, že spojitá náhodná proměnná je definována přes kontinuální rozsah hodnot (tzv. domény proměnné), bude graf funkce hustoty kontinuální v tomto rozsahu.
- Oblast ohraničená křivkou funkce hustoty a na ose x je rovna 1.
- Pravděpodobnost, že náhodná veličina nabývá hodnoty mezi a a, b se rovná oblasti pod funkcí hustoty ohraničené a a b .
Typy rozdělení:
- Rovnoměrné rozdělení
- Normální (Gaussovo) rozdělení – normované a obecné
- Logaritmicko-normální
- Cauchyovo rozdělení
- Exponenciální rozdělení
- Gama rozdělení
- Beta rozdělení
- Rozdělení chí-kvadrát
- Studentovo t-rozdělení
- (Fisherovo) F-rozdělení
Příklady diskrétních rozdělení
Alternativní rozdělení
Týká se náhodných veličin, které mohou mít pouze dva různé výsledky. Pravděpodobnost jednoho z nich je p, druhého 1 − p. Značení tohoto rozdělení A(p). [2]
Binomické rozdělení
Binomický experiment (také známý jako Bernoulliho zákon) je statistický experiment , který má následující vlastnosti:
- Experiment se skládá z "n" opakovaných pokusů.
- Každý proces může vyústit v pouhých dvou možných výsledků. Říkáme, že jeden z těchto výsledků je úspěch a další, selhání.
- Pravděpodobnost úspěchu, označujeme P.
- Fyzikální zákony jsou nezávislé a to znamená, že výsledek v jedné studii neovlivní výsledek v jiných studiích.
Veličina s binomickým rozdělením je tedy součtem nezávislých veličin s rozdělením alternativním, parametry tohoto rozdělení jsou tedy jednak "p" a poté ještě počet pokusů "n". Toto rozdělení se typicky značí jako Bi(n,p). Pravděpodobnostní funkce vypadá takto:
kde x může nabývat hodnot 0, 1, 2 až n.
Negativní binomické rozdělení
Negativní binomický experiment je statistický experiment , který má následující vlastnosti:
- Experiment se skládá z x opakovaných pokusů.
- Každý proces může vyústit do pouhých dvou možných výsledků. Říkáme jeden z těchto výsledků je úspěch a další, selhání.
- Pravděpodobnost úspěchu, označme P rovnost fyzikálních zákonů.
- Zákony jsou nezávislé ; to znamená, že výsledek v jedné studii neovlivní výsledek v jiných studiích.
- Experiment pokračuje až R je pozorování úspěchů, kde r je určena předem.
Podívejme se na následující statistický experiment. Opakovaně jste hodili mincí a spočtěte, kolikrát mince přistane na hlavě. Můžete pokračovat, dokud mince přistane na hlavě 5 krát N. To je dáno tím, že jde o negativní binomické experiment:
- Experiment se skládá z opakovaných pokusů. Opakovaně jsme hodili mincí, dokud přistála 5krát na hlavě.
- Každý proces může mít za následek jen dva možné výsledky - panna nebo lev.
- Pravděpodobnost úspěchu je konstantní - 0,5 na každé zkoušce.
- Pravidla jsou nezávislá; To znamená, že výsledky mezi jednotlivými experimenty se navzájem neovlivní.
- Experiment pokračuje, dokud se neobjevil pevný počet úspěchů; v tomto případě 5 hlav.
Negativní binomická náhodná proměnná je číslo "X" opakovaných zkoušek k produkci "r" úspěchů v negativní binomické experimentu. Rozdělení pravděpodobnosti negativního binomického rozdělení náhodné veličiny se nazývá negativní binomické rozdělení . Negativní binomické rozdělení je také známé jako distribuce Pascal.
Předpokládejme, že opakovaně házíme mincí a počítáme počet hlav (úspěchů). Budeme-li pokračovat házením mincí, dokud nepadne l 2 krát hlava, provádíme negativní binomický experiment. Negativní binomická náhodná proměnná je počet mincí požadovaných k dosažení 12 hlav. V tomto příkladu je množství hodů náhodná proměnná, která může mít libovolné celé číslo mezi 12 a nekonečnem. Negativní binomické rozdělení pravděpodobnosti pro tento příklad je uvedeno v tabulce:
Poissonovo rozdělení
Toto rozdělení vyplývá z Poissonova experimentu. Poisson experiment je statistický experiment , který má následující vlastnosti:
- Experiment má za následek výsledky, které mohou být klasifikovány jako úspěchy či neúspěchy.
- Je známo, že průměrný počet úspěchů (μ), který se vyskytuje v určitém regionu.
- Pravděpodobnost, že dojde k úspěchu, je úměrná velikosti regionu.
- Pravděpodobnost, že dojde k úspěchu ve velmi malé oblasti, je v podstatě nulová.
Všimněte si, že zadaná oblast může mít mnoho podob. Například, to může být délka, plocha, objem, doba, atd. Použití: Počet úrazů za určitý interval, počet tiskových chyb na jedné stránce, počet branek za fotbalový zápas, počet vadných výrobků za časový interval, atd.
Předpokládejme, že provádíme Poisson experiment, ve kterém je μ průměrný počet úspěchů v daném regionu. Potom pravděpodobnost Poisson je:
P ( x , μ) = (e -μ ) (μ x ) / x!
kde x je skutečný počet úspěchů, které vyplývají z experimentu, a e je přibližně rovna 2,71828.
Příklady spojitých rozdělení
Normální rozdělení
Toto rozdělení je pravděpodobně nejznámější snad i nejdůležitějším rozdělením, označované také jako Gaussovo rozdělení. Důležité je především z důvodu platnosti centrální limitní věty, která říká, že součet nezávislých náhodných veličin má přibližně normální rozdělení (čím více veličin sečteme, tím lépe), což znamená, že lze aproximativně použít procedury, které byly na základě normálního rozdělení navrženy, pro proměnné, které se tímto rozdělením neřídí. Toto rozdělení se objevuje u jevů, jejichž proměnlivost je způsobena velkým množstvím nezávislých veličin.
Normální rozdělení je definován následující rovnicí:
kde X je normální náhodná proměnná, μ je střední, σ je standardní odchylka, π je přibližně 3,14159, a e je přibližně 2,71828. Náhodná veličina X v normální rovnici se nazývá normální náhodná veličina. Normální rovnice je funkce hustoty pravděpodobnosti pro normální rozdělení.
Normální křivka Graf normálního rozdělení závisí na dvou faktorech - střední a standardní odchylka. Střední hodnota distribuce určuje umístění středu grafu, a standardní odchylka určuje výšku a šířku grafu. Všechny normální distribuce vypadají jako symetrické křivky ve tvaru zvonu. Celková plocha pod normální křivkou je rovna 1. Každá normální křivka (bez ohledu na její střední nebo standardní odchylku), odpovídá následujícímu pravidlu 68-95-99,7. Tato čísla vyjadřují kolik procent z plochy pod křivkou spadá do které standardní odchylky od střední hodnoty. Je zřejmé, že vzhledem k normální rozdělení, většina výsledků bude patřit do 3 standardní odchylky od průměru.
Příklady použití
Alternativní rozdělení
Otázka:
V pytlíku máme tři kuličky černé barvy a jednu bílé barvy, výsledkem pokusu bude vytažení černé či bílé kuličky. S jakými pravděpodobnostmi budou vytaženy barvy?
Odpověď:
Černá s pravděpodobností p = 0,25 Bílá s pravděpodobností 1-p = 0,75.
Binomické rozdělení
Otázka:
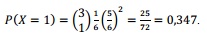
Hodíme třikrát hrací kostkou. Jaká je pravděpodobnost, že padne šestka právě jednou?
Odpověď:
Negativní binomické rozdělení
Otázka:
Bob je vysokoškolský basketbalový hráč. Má 70% úspěšnost ve střelbě na koš. Jaká je pravděpodobnost, že Bob během sezóny dá 3 koše z pěti pokusů (hodů) po sobě jdoucích?
Odpověď:
Pravděpodobnost úspěchu ( P ) je 0,70, počet pokusů ( x ) je 5 a počet úspěchů ( r ) je 3.
Chcete-li tento problém vyřešit, musíte doplnit hodnoty do negativního binomického vzorce.
To znamená, že pravděpodobnost, že Bob dá své tři úspěšné hody z pěti pokusů je 0,18522.
Poissonovo rozdělení
Otázka:
Průměrný počet prodaných domů od firmy „Xena nemovitosti s.r.o.“ je 2 domy za den. Jaká je pravděpodobnost, že přesně 3 domy budou zítra prodány?
Odpověď:
Víme následující:
μ = 2; že 2 domy se prodávají za den v průměru.
x = 3; protože chceme zjistit pravděpodobnost, že tři domy budou zítra prodány.
e = 2.71828; protože e je konstanta rovná přibližně 2,71828.
Doplňme tyto hodnoty do Poissonova vzorce:
P ( x , μ) = (e -μ ) (μ x ) / x!
P (3, 2) = (2,71828 -2 ) (2 3 ) / 3!
P (3, 2) = (0,13534) (8 ) / 6
P (3, 2) = 0,180
To znamená, že pravděpodobnost prodeje 3 domů zítra je 0,180.
Normální rozdělení
Otázka:
Předpokládejme, že skóre testu IQ jsou normálně rozděleny. Pokud výsledek testu má průměr 100 a směrodatnou odchylku 10, jaká je pravděpodobnost, že osoba, která udělá test bude mít skóre mezi 90 a 110?
Odpověď:
Zde chceme znát pravděpodobnost, že výsledek testu spadá mezi 90 a 110 "trik" k řešení tohoto problému je uvědomit si následující.: P (90 < x <110) = P (X <110) - P (X <90) Pro výpočet P (X <110), zadáme následující vstupy: Hodnota normálního rozdělení náhodné veličiny je 110, průměr je 100 a směrodatná odchylka je 10 Zjistili jsme, že P (X <110) je 0,84. Pro výpočet P (X <90), zadáme následující vstupy: Hodnota normálního rozdělení náhodné veličiny je 90, průměr je 100 a směrodatná odchylka je 10 Zjistili jsme, že P (X <90) je 0,16. P (90 < x <110) = P (X <110) - P (X <90) P (90 < x <110) = 0,84 až 0,16 P (90 < x <110) = 0,68
Výsledkem je pravděpodobnost, že asi u 68% testovaných se skóre bude pohybovat mezi 90 a 110.
Reference
- ↑ Normal distribution. Stat Trek. [online]. 2014 [cit. 2014-05-31]. Dostupné z: http://stattrek.com/probability-distributions/normal.aspx?Tutorial=Stat
- ↑ Rozdělení náhodné veličiny. Stat soft. [online]. [cit. 2014-05-31]. Dostupné z: http://www.statsoft.cz/file1/PDF/newsletter/2012_11_12_StatSoft_Rozdeleni_nahodne_veliciny.pdf
- ↑ The problem with p-values. Mailund on the internet. [online]. 2009 [cit. 2014-05-31]. Dostupné z: http://www.mailund.dk/index.php/2009/01/28/the-problem-with-p-values/
- ↑ Pages.stern.nyu.edu. Mailund on the internet. [online]. [cit. 2014-05-31]. Dostupné z: http://pages.stern.nyu.edu/~adamodar/New_Home_Page/StatFile/statdistns.htm
- ↑ Negative binomial distribution. Boost libraries. [online]. 2007 [cit. 2014-05-31]. Dostupné z: http://www.boost.org/doc/libs/1_35_0/libs/math/doc/sf_and_dist/html/math_toolkit/dist/dist_ref/dists/negative_binomial_dist.html
- ↑ Wikipedie: Otevřená encyklopedie: Normální rozdělení [online]. c2014 [citováno 31. 05. 2014]. Dostupný z WWW: <http://cs.wikipedia.org/w/index.php?title=Norm%C3%A1ln%C3%AD_rozd%C4%9Blen%C3%AD&oldid=11401619>
- ↑ Přehled pravděodobnostních rozdělení. MFF-CUNI. [online]. 2009 [cit. 2014-05-31]. Dostupné z: http://www.karlin.mff.cuni.cz/~pesta/NSTP097/rozdeleni.pdf







