Portfolio Simulation
Contents
Introduction
The financial world is something unpredictable. Many economists have searched for the ideal portfolio structure. Many have searched for an “easy” way to get rick quickly. The truth is that there is no such thing as an easy way to get rich quickly. Prediction of stock growth and estimation of future yield are very complex problems. The goal of this simulation is to take a look into portfolio structures and find an optimal portfolio structure for different kinds of people. This means that there is no real, clear optimal solution. The goal of this simulation is to give the reader a range of solutions. Different portfolio structures will involve more or less risk. Dependent on the readers risk aversion he will find an ideal structure of his/her portfolio.
Problem definition
Concrete for this assignment I will make use of the Bel-20 (The Belgian stock market with the 20 largest Belgian companies), Belgian state bonds and deposits in the bank KBC (CSOB in Czech Republic). These will also affect the different risk structures since generally spoken deposits involve no risk of payback and yield and bonds only involve a low risk compared to the risk in stock investment. The stock we will use are AB-InBev (one of the largest beer producers in the world), Colruyt (warehousing company in the Belgian market), KBC-group (Bank, called CSOB in Czech Republic), Solvay (International Chemical Group), Bekaert (steel wire transformation and coatings).
Method
The way we will tackle this problem will be through Monte Carlo simulation. This is the ideal tool to model the randomness in the stock market. An easy and sufficient tool for tackling this simulation is excel. The simulation will take place for a 5 year period and take into account that the volatility and yield of a stock might change over this time (boom- and bust-cycle). The only thing we will simplify in this simulation is the change of interest rates over time. We will use a steady interest rate for this 5 year period. For each of the stocks we will calculate the yield and volatility over a 5 year period. We will do the same for the deposits and the government bonds. In the final model we will bring each of the instruments together in a portfolio with different compositions of volatility and yield as a result.
Deposits
Like mentioned before we will use KBC-bank as our bank for deposits for this example. We could use any other bank too because the difference in interest is not that big for the moment. The current interest rate is 0.01%. KBC-bank gives just like any other bank a confidentiality fee if the money on the account was not withdrawn. This fee is 0.1%. This brings the total interest on deposit on 0.11% (0.1+0.01). If we look ahead for a period of 5 years we can conclude that the total yield will be 1.6628% (see excel file). Since the deposits are by definition without any risk of payment, we will assume the volatility as 0,00%.
Bonds
Belgian government bonds over a period of 5 years give a coupon of 4,25%. This means that over a period of 5 years the holder will receive 4,25% on the initially invested amount. After 5 years the initially invested amount of money will be paid back. The risk of non-payment by the Belgian government is very small (volatility = 0.28%) and can almost be assumed zero. For the total yield of bonds we must take into account the time value of money. A formula which includes the time value of money is the “yield to maturity”:
a = nominal value of the bond
t = time variable
n = number of periods
r = yield to maturity
If we calculate r out of this formula we obtain the yield to maturity. For our case the yield to maturity is 3,79%. On secondary markets these bonds are quite unpopular for their short time period and with the current interest rate. We will not look further into this matter since it is not the objective of this simulation.
Discussion of Stocks
The calculation for a 5 yearly yield and volatility is a lot more difficult than for deposits and bonds. These measures are very hard to predict, even for one year in advance. Calculating yield without inside information is impossible. We will make an estimation for each year of the yield and volatility based on historic numbers, information about the company and evolution of their sector and the economy in general. The method most used for this forecast was the method of moving averages. We must be cautious with these predicted numbers. If history told us anything is that in the financial world, no-one can predict the future. The yield and volatility we will use to in our portfolio will be the average yield and volatility over the last 5 years. To complete this estimation the stock value of each stock was calculated for a period of 5 years using following formula:
St = St-1 + St-1 * (yield + volatility*norm.inv(random;0;1))
We calculated a monthly stock price to see the evolution of the stock. Using Monte Carlo simulation we received a clear estimation of how the stock prices will evolve over the following 5 years.
AB-InBev
ANHEUSER-BUSCH INBEV is one of the biggest beer brewing company in the world. Over the last years they’ve had some difficult time because there was a lot of lobbying about the take-over of/ combination with SABMiller. Because there was doubt about this take-over, shares value dropt the past few years. However, analysts predict a few more difficult years for AB-InBev with low turnovers followed by completion of the entire take-over process and high return with lower volatility. Because of their very dominant position in the beer brewing sector they do on average better than their “colleagues”. And with the take-over of SABMiller completed they will be even stronger. Yet this take-over will only bring profit in the future. On the short term however this will first lead to the drop of profit margins and high interest payments. With all this in mind we made an estimation of future yield and volatility (see excel).
Colruyt
Colruyt is one of Belgians biggest warehousing companies. Their activities are solely in Belgium which makes them completely dependent on the Belgian market. Lately this sector has been very competitive and characterized by mergers and acquisitions. Recently one of Colruyt’s biggest competitors, Delhaize, entered a joint venture with “Ahold Koninklijke” (A Dutch warehousing company that has been broadening its horizon across Europe). Together they now formed “Ahold Delhaize Koninklijke”. The question has been raised how Colruyt will deal with this intense competition. Over the last years Colruyt’s revenues were rising, they opened more stores in the French speaking part of Belgium, jobs were created… Colruyt’s share was blooming. Now Colruyt and many analysts believe that revenues will drop but that Colruyt’s business model still stands a chance against the power house of Ahold Delhaize Koninklijke. They’ve now started with online delivery of groceries and personal shopping of groceries which seems to have received a lot of positive attention with customers. Analysts therefor prospect a steady but smaller yield for the first years followed by a slow decrease in yield for last few years when Ahold Delhaize Koninklijke will have caught up with Colruyt. The estimation of future yield and volatility is made with all this in mind (see excel).
Solvay
Solvay is a Chemistry company located in Antwerp. Because of its location close to the harbour of Antwerp, Solvay has been an International player in the chemistry polymer sector. There dividend per share has been doubled over the last 10 years. However the chemistry sector is characterized by high investments which has led to high interest payback for Solvay. This has also led to high volatility for the share of Solvay. The predictions for the future of Solvay are divided. Many see a steady growth with high volatility. Others think that payback of interest and loans will lead to the absence of payment of dividends. Even more competition from China is increasing and profit margins tend to drop in the future. With all this in mind it’s very hard to calculate what Solvay’s role in the future chemistry market will be. This makes estimation of yield and volatility extremely difficult. (see excel)
KBC Group
KBC group has had some difficult years, as did most other banks due to the banking crisis of 2008. Slowly but steady their stock has been increasing again. They starting to gain important positions all over Europe and are now especially expanding in Central Europe (namely Bulgaria). The predictions for the banking sector are that they’re finally climbing out of the economic crisis. A small growth and positive yield can be expected for the coming years, however volatility will remain high. The estimation is made for the yield and volatility. (see excel)
Bekaert
Bekaert is an international player in the field of steel wire transformation and coating. They are a very unique company within their sector. They’ve established the position of monopolist even. They’ve been evolving positively for the last 10 years and are expected to keep growing at the same rate. The start-ups of factories across China and USA seemed to be having success. Yet the risk of succeeding in this markets is high. The difficulty of entering these markets has been discussed before. This is projected in future yield and volatility (see excel).
Model
With the above mentioned calculations and estimations we received following matrix:
The goal is now to construct different portfolio structures with these instruments and compare the risk and yield of these different portfolios. The total yield of such a portfolio will be:
With Rp = The total yield of the portfolio
Wi = The weight of a certain stock i
Ri = The yield of a certain stock i
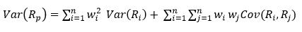
The total volatility of a portfolio is a lot more difficult to calculate since we must take into account the correlation between the different instruments. We do this by the help of a variance covariance matrix. In portfolio theory the variance of a portfolio is given by:
With these two formulas we can calculate the volatility and yield of each portfolio we compose. For each year we make an estimation of the future yield taken into account the projected yield and volatility of a certain portfolio. This by using random numbers in the normal distribution with the mean equal to the projected yield and the variance equal to the projected volatility. This way we receive one possible estimation of the future value of our initially invested amount in projected portfolio. Using Monte Carlo simulation we obtain multiple estimations for our problem through repetition.
Results and conclusion
By changing the percentage invested in each of the stocks, bonds or deposits we obtain a different estimation of what the amount will be after 5 years. The user of this program can now combine different kinds of instruments into portfolios to obtain a future projected return, the worst case scenario and the best case scenario for a certain combination of instruments. For example if one was to invest 80% in stock Bekaert and 20% into stock AB-InBev with a current budget of 20.000 euros, he can expect a most likely return around 10000 euro.
This way any one can decide how he will invest in stocks, bonds and/or deposits and what the future will hold for him with more certainty.
Code
Sources
https://www.oblis.be/nl/school/de-waardebepaling-van-een-effect-en-een-financi%C3%ABle-portefeuille-523623 http://www.vergelijkuwvermogensbeheerder.nl/standaarddeviatie-een-essentieel-cijfer-bij-vermogenbeheer https://aandelenkopen.nl/analyse/volatiliteit/ https://en.wikipedia.org/wiki/Stochastic_volatility http://www.morningstar.nl/nl/news/32636/volatiliteit-standaarddeviatie-risico-en-sharpe.aspx http://www.beursduivel.be/Koersen/Aandelen/brussel/bel20.aspx http://www.diffen.com/difference/Bond_vs_Stock#Bond_Yields_vs._Prices http://www.tijd.be/beurzen/euronext-brussel/bel20 http://ec.europa.eu/economy_finance/publications/eeip/pdf/ip020_en.pdf


