Simulace stárnutí českého obyvatelstva (Vensim)

From Simulace.info
Jump to: navigation, search

Autor: Veronika Kostrouchova KOSV08 Kosv08 (talk) 05:27, 10 June 2022 (CET)

Simulace stárnutí českého obyvatelstva (Vensim)

Definice problému

Existuje jen málo výzkumů o populaci založených na System Dynamics (SD). V této seminární práci je rozebrána charakteristika populace v České republice. Na základě SD metody byl vytvořený populační predikční model s využitím Aging Chains s ohledem na stárnutí a gender populace. Řetězec stárnutí je rozdělen na dva řetězy, jeden pro každé pohlaví. Řetězce stárnutí se skládají ze zásobního a průtokového diagramu, parametry byly kvantifikované na základě demografických dat pro Českou republiku dle Českého statistického úřadu. Cílem této seminární práce bylo představit a poskytnout model řetězce stárnutí obyvatelstva České republiky.

Metoda

Cílem této simulace bylo vytvořit populační model vycházející z reálných dat z roku 2020 pro Českou republiku a udělat predikci charakteristiky obyvatelstva pro následujících 5 let, tj, do roku 2025. Pro porovnání byl vytvořen totožný model, ale vycházející z reálných dat z roku 2015. Výsledky druhého modelu byly porovnány s reálnými daty z roku 2020. Pro vytvoření této simulace byl zvolen simulační software Vensim, protože je to nástroj, který je vhodný pro modely systémové dynamiky.

Model

Modely jsou Stock and Flow diagramy, kde pomocí stavů a toků predikujeme narození a úmrtí obyvatel ČR. Do modelů jsou vkládána reálná data ze stránek Českého statistického úřadu, některá data byla dopočítávána ale vychází vždy z dostupných dat, výpočty i ostatní vstupní data jsou k dispozici v souboru komprimovaném metodou ZIP včetně použitých modelů.

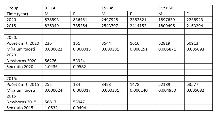
Modely vychází z obecného populačního modelu, kde populaci ovlivňují narození (pozitivně ovlivnění mírou plodnosti) a úmrtí (pozitivně ovlivněno mírou úmrtnosti). Modely jsou na rozdíl od obecného modelu rozděleny na dva řetězy, podle pohlaví. Populace je navíc rozdělena do věkových kategorií: děti jsou ve věku 0-14, dospělí jsou ve věku 15-49 (toto rozdělení bylo učiněno na základě dat od ČSÚ, kde míra plodnosti je počítána od věku 15 let a do 49 let) a senioři (nad 50 let). Pro každou věkovou kategorii byla dopočítávána míra úmrtnosti. Kromě míry plodnosti bylo z důvodů pohlavních řetězců zapotřebí ještě dopočítat poměr pohlaví pro novorozence v daném vstupním roce.

Obrázek 1: Obecný populační model
Obrázek 2: Stock and flow diagram populace s rozdělením na věkové kategorie a na pohlaví

Proměnné modelu

Popis a výpočet proměnných: (m značení pro male, f pro female)

Stock proměnné se týkají populace, jsou rozdělené podle pohlaví a věku: Pm/f1: population male/female kids – populace dětí ve věku mezi 0-14 let, Pm/f2: population male/female adults - populace dospělých ve věku mezi 15-49, Pm/f3: population male/female seniors - populace nad 50 let.

Rovnice stavů:

Pm/f1 = INTEGRAL (Bm/f - m/f1 - Dm/f1)

Pm/f2 = INTEGRAL (m/f1 - Dm/f2 - m/f2)

Pm/f3 = INTEGRAL (m/f2 - Dm/f3)

Pomocné proměnné

Bm/f: new male/female babies, počet novorozenců, výpočet je následující: Bm/f = Pf2 * BR * SR (Pf2 je population female adults, aneb ženy v reprodukčním věku. BR – míra plodnosti, která uvádí průměrný počet novorozenců pro daný rok, pro každou ženu v reprodukčním věku, SR – sex ratio je poměr pohlaví).

m/fi: počet lidí konvertujících ze skupiny i do skupiny i+1, v modelu pomocí delay function (delay fixed): 14 let pro m/f1 and 35 let pro m/f2.

Dm/fi: počet úmrtí pro každý rok ve skupině i, Dm/fi = Pm/fi * DRm/fi

Drm/fi: míra úmrtnosti ve skupině i, dopočítávána jako počet úmrtí v dané věkové kategorii děleno počet obyvatel pro daný rok, dle dostupných dat ČSÚ, viz tabulka níže.

BR: birth rate - míra plodnosti, dle ČSÚ 1.707 pro rok 2020, 1.570 pro rok 2015.

SR: sex ratio – poměr pohlaví, pro rok 2020 bylo male sex ratio at birth spočítáno 1.0436 a female sex ratio at birth 0.9582 (Poměr pohlaví vychází z počtu narozených chlapců a děvčat pro daný rok, v roce 2020 se narodilo 56276 chlapců a 53924 dívek), pro rok 2015 bylo male sex ratio 1.0532 a female sex ratio 0.9494 (56817 narozených chlapců a 53947 dívek).

Vstupní data: Vstupní data simulací.JPG

Výsledky

Proběhla simulace obou modelů a pro posouzení správnosti modelů byly porovnány výsledky simulace modelu 2015 s reálnými daty. Modely byly posléze upraveny, byla přepočítána míra úmrtnosti, aby nebyla s ohledem na celou populaci, ale na danou věkovou kategorii. Přepočítané míry úmrtnosti jsou uvedené v tabulce níže.

Upravená míra.JPG

Dále byl upraven výpočet Pm/f3 = INTEGRAL (m/f2 - Dm/f3), byl přidán průměrný věk dožití pro dané pohlaví, vypočítaný z níže uvedené tabulky. (Novější data nebyla dostupná, byla proto použita stejná pro obě simulace.)

Průměrný věk dožití.JPG

Výsledky upravených simulací: (R značí reálná data, S data získaná simulací)

Počet obyvatel Počet obyvatel výsledky simulace.JPG

Počet úmrtí Výsledky simulace počet úmrtí.JPG

Porovnání simulace pro rok 2020 a reálných dat z roku 2020

Obrázek 3: Graf porovnávající výsledky simulace s reálnými daty - počet obyvatel

Interpretace výsledků: Simulace předpokládala menší úbytek starších obyvatel a menší nárůst v kategorii dětí a dospělých (v kategorii dětí byl větší rozdíl mezi předpokládaným množstvím obyvatel a reálným počtem). To může být vysvětleno následujícím způsobem: oproti roku 2015 (tj. rok, ze kterého simulační data pro rok 2020 vycházejí), byla reálná míra plodnosti vyšší než ta z roku 2015 (v roce 2020 je 1.707 a v roce 2015 byla 1.570), což by ovlivnilo počet novorozenců během uplynulých pěti let a následně také počet žijících dětí v roce 2020. Simulace také nebere v úvahu migraci populace, níže uvedená tabulka uvádí data z ČSÚ ohledně migrace, data jsou pro rok 2020 (data jsou ale společná i pro Slovensko).

Migracni pocty.JPG

Zde je porovnání simulovaných dat plus reálných migračních dat (přičtením přistěhovalých a odečtením vystěhovalých obyvatel) s reálnými daty z 2020.

Migracni data.JPG

Důvod neshody mezi simulačními a reálnými daty spočívá nejspíš v rozdílných mírách plodnosti a úmrtnosti. Míra plodnosti rostla a tudíž bylo více novorozenců, míra úmrtnosti také rostla, proto pak bylo více úmrtí a méně obyvatel ve vyšších věkových kategoriích, za co mohla nejspíše pandemie způsobená SARS-CoV-2, která začala v roce 2020, a kterou simulace používající data z roku 2015 nemohla zohlednit. U počtu úmrtí se model blízce shodoval s realitou u nižších věkových skupin, u nejstarších skupin byla ale jak bylo již uvedeno výše, skutečná míra úmrtnosti v roce 2020 mnohem vyšší než ta z roku 2015.

Obrázek 4: Graf porovnávající výsledky simulace s reálnými daty - počet úmrtí

Simulace používající data z 2020 a predikující hodnoty pro rok 2025 nás podobně jako předchozí simulace upozorňuje, že obyvatelstvo České republiky stárne, zvyšují se počty osob ve věkových kategoriích F50+ a M50+ ale v ostatních kategoriích se počty osob podle simulace snižují (stejně jako u modelu, který používal data z roku 2015). Model ale nebere v úvahu migrační data, která kvůli současné politické situaci budou pro predikci počtu obyvatel zcela zásadní.

Závěr

Simulace byly vytvářené použitím reálných dat dostupných na stránkách Českého statistického úřadu, byly vytvořeny dva modely využívající data z roku 2015 a z roku 2020. Oba modely predikovaly populaci České republiky pět let do budoucna. Model s daty z roku 2015 byl poté porovnán s reálnými daty z roku 2020. Ačkoli simulace vycházely z reálných dat, kvůli fixním mírám plodnosti a úmrtnosti u jednotlivých věkových a genderových kategorií byly odchylky výsledků simulace s porovnáním s reálnými daty. Modely také nezohledňovaly migrační pohyby obyvatelstva, což také snižovalo jejich predikční hodnotu.

Reference

Czech Demographic Handbook - 2020, dostupné z: https://www.czso.cz/csu/czso/czech-demographic-handbook-2020

Kód

File:Simulace KOSV08.zip